Τρίτη 14 Μαΐου 2013

Διαφορές φάσεων και μήκος κύματος


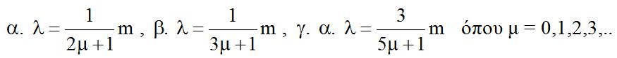
Ένα εγκάρσιο αρμονικό κύμα , διαδίδεται πάνω σε μια ελαστική χορδή μεγάλου μήκους.  Δυο σημεία Α, Β του κύματος που βρίσκονται στις θέσεις xA , xB με xΒ-xΑ = 5m  ταλαντώνονται  την ίδια χρονική στιγμή με φάσεις  φΑ , φΒ  όπου φΑΒ = 2kπ , k = 1, 2, 3, 4, ...ενώ δυο  άλλα σημεία Γ , Δ βρίσκονται στις θέσεις xΓ , xΔ με xΔ-xΓ = 1,5 m και ταλαντώνονται με  φάσεις φΓ , φΔ όπου  φΓΔ=(2Ν+1)π , N = 0,1,2,3,...
Το μήκος κύματος λ είναι 
Να επιλέξετε τη σωστή σχέση και να αιτιολογήσετε την επιλογή σας.

Δεν υπάρχουν σχόλια:

Δημοσίευση σχολίου

Σημείωση: Μόνο ένα μέλος αυτού του ιστολογίου μπορεί να αναρτήσει σχόλιο.